首页 / 孟庭苇全体照 / 图片详情

歌星孟庭苇写真照,喜欢听她那首,风中有朵雨做的云_高清图集_新浪网

图片尺寸 1080x1812
上传时间 2026-03-18 07:24:11

图片链接

缩略图
原图
外链

相关图片

老照片里的旧时光—孟庭苇

老照片里的旧时光—孟庭苇

中国台湾著名歌星孟庭苇

中国台湾著名歌星孟庭苇

《羞答答的玫瑰》孟庭苇离婚,出轨对不起丈夫,恋上小12岁女助理

《羞答答的玫瑰》孟庭苇离婚,出轨对不起丈夫,恋上小12岁女助理

孟庭苇前夫以"退出歌坛的你"再掀孟庭苇底,曾介入他人家庭

孟庭苇前夫以"退出歌坛的你"再掀孟庭苇底,曾介入他人家庭

孟庭苇气质好温柔51岁穿一字肩薄纱裙身材气质都和小姑娘一样

孟庭苇气质好温柔51岁穿一字肩薄纱裙身材气质都和小姑娘一样

老照片里的旧时光—孟庭苇

老照片里的旧时光—孟庭苇

孟庭苇不像是中年人,穿纱裙的样子很可爱,小女孩都没她穿的嫩

孟庭苇不像是中年人,穿纱裙的样子很可爱,小女孩都没她穿的嫩

孟庭苇

孟庭苇

孟庭苇人到中年依旧少女感十足,一字肩连衣裙清新俏皮,美若天仙_女性

孟庭苇人到中年依旧少女感十足,一字肩连衣裙清新俏皮,美若天仙_女性

青春照相馆少女期孟庭苇羞涩玫瑰悄悄开

青春照相馆少女期孟庭苇羞涩玫瑰悄悄开

随机推荐

痛到心碎的伤感说说句子,句句虐心

痛到心碎的伤感说说句子,句句虐心

令人一眼惊艳的中国美景.#治愈系风景

令人一眼惊艳的中国美景.#治愈系风景

其它 植物园的石蒜花     石蒜,百合目石蒜属石蒜科,多年生宿根花卉

其它 植物园的石蒜花 石蒜,百合目石蒜属石蒜科,多年生宿根花卉

喜欢户外露营的朋友们注意了,这款爆款瑞士正品经典款充气打火机 - 抖

喜欢户外露营的朋友们注意了,这款爆款瑞士正品经典款充气打火机 - 抖

热门表情_发表情,表情包大全fabiaoqing.com

热门表情_发表情,表情包大全fabiaoqing.com

成龙童年照曝光罕见童年照成龙小时候就有主角相

成龙童年照曝光罕见童年照成龙小时候就有主角相

王子文拖把头发型(王子文新发型尝试爆炸头)(7)

王子文拖把头发型(王子文新发型尝试爆炸头)(7)

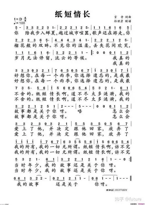
流行歌曲口琴简谱 口琴谱子大全流行歌曲简单-图片大观-奇异网

流行歌曲口琴简谱 口琴谱子大全流行歌曲简单-图片大观-奇异网

愿你们展翅高飞!

愿你们展翅高飞!

想成为小画家吗?快来报名吧!

想成为小画家吗?快来报名吧!