首页 / 湖边婚纱照 / 图片详情

水边婚纱照

图片尺寸 1080x1439
上传时间 2026-03-17 02:55:15

图片链接

缩略图
原图
外链

相关图片

唯美湖边电影感婚纱照奔赴一场浪漫

唯美湖边电影感婚纱照奔赴一场浪漫

这组湖景婚纱照浪漫又治愈

这组湖景婚纱照浪漫又治愈

夏天拍婚纱照太热怎么办夏天拍婚纱照注意事项有哪些

夏天拍婚纱照太热怎么办夏天拍婚纱照注意事项有哪些

成都婚纱照莳萌摄影青山绿水的唯美婚纱照水边的婚纱照

成都婚纱照莳萌摄影青山绿水的唯美婚纱照水边的婚纱照

湖边黄昏   婚纱照   #麦田造像#客片分享   湖间霞光万倾   晚风

湖边黄昏 婚纱照 #麦田造像#客片分享 湖间霞光万倾 晚风

湖边夕阳婚纱照也太有感觉了吧

湖边夕阳婚纱照也太有感觉了吧

夏天拍江边婚纱照的注意事项

夏天拍江边婚纱照的注意事项

落日弥漫的湖边电影感婚纱照客片

落日弥漫的湖边电影感婚纱照客片

客片分享|落日湖边婚纱照.风从那头来 将晚霞吹散在湖面上 夏 - 抖音

客片分享|落日湖边婚纱照.风从那头来 将晚霞吹散在湖面上 夏 - 抖音

超喜欢的水边婚纱照有质感又耐看

超喜欢的水边婚纱照有质感又耐看

随机推荐

写生九寨,王硕绘画影视传媒, 2016年布面油画 | 衍艺圈 - topart.

写生九寨,王硕绘画影视传媒, 2016年布面油画 | 衍艺圈 - topart.

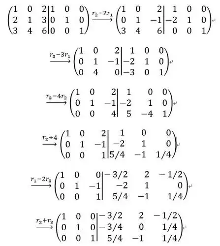
高等数学 矩阵求法

高等数学 矩阵求法

2016mbc不夜城李枖原晋久金宥真真爱感化一切全剧终

2016mbc不夜城李枖原晋久金宥真真爱感化一切全剧终

王者荣耀:英雄们身体变小,兰陵王被李白嘲笑,铠觉得守约好可爱

王者荣耀:英雄们身体变小,兰陵王被李白嘲笑,铠觉得守约好可爱

q版闺蜜头像一人一张,2020超好看的二次元超萌的-姐妹头像

q版闺蜜头像一人一张,2020超好看的二次元超萌的-姐妹头像

冷冻鱿鱼嘴串200g

冷冻鱿鱼嘴串200g

企业文化展板黄色承担成长励志挂画

企业文化展板黄色承担成长励志挂画

女生头像 壁纸 欧美

女生头像 壁纸 欧美

吴亦凡被称为"太阳神阿波罗"的名场面

吴亦凡被称为"太阳神阿波罗"的名场面

吴尊自恋程度离谱称女儿二老婆为基操

吴尊自恋程度离谱称女儿二老婆为基操