首页 / 强矩阵 / 图片详情

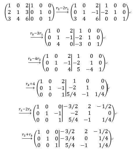
高等数学 矩阵求法

图片尺寸 461x516
上传时间 2026-03-19 08:43:28
关键词 强矩阵

图片链接

缩略图
原图
外链

相关图片

强矩阵式组织结构

强矩阵式组织结构

请看图:2)强矩阵还是弱矩阵?上述三个例子说明了什么呢?

请看图:2)强矩阵还是弱矩阵?上述三个例子说明了什么呢?

矩阵的标准形式是什么

矩阵的标准形式是什么

线性代数与解析几何——矩阵ppt

线性代数与解析几何——矩阵ppt

强矩阵组织

强矩阵组织

在这里插入图片描述

在这里插入图片描述

矩阵型组织优缺点v>优点:(1)项目经理负责制,有明确的项目目标;(2)

矩阵型组织优缺点v>优点:(1)项目经理负责制,有明确的项目目标;(2)

矩阵理论

矩阵理论

弱矩阵强矩阵和平衡矩阵的区别

弱矩阵强矩阵和平衡矩阵的区别

项目管理之强矩阵弱矩阵

项目管理之强矩阵弱矩阵

随机推荐

雪地里的小画家2

雪地里的小画家2

伊能静产后首次单独与老公秦昊旅行晒牵手照甜蜜爆表

伊能静产后首次单独与老公秦昊旅行晒牵手照甜蜜爆表

2021最受欢迎的男生发型(2021年男士最热门发型)-稻草号

2021最受欢迎的男生发型(2021年男士最热门发型)-稻草号

月季盆栽

月季盆栽

80个简笔画可爱表情合集来啦 近期临摹了731580个简笔画可爱表情

80个简笔画可爱表情合集来啦 近期临摹了731580个简笔画可爱表情

简单易学的水果摆盘

简单易学的水果摆盘

p>《义勇军进行曲》是由 a target="_blank" href="/item/田汉

p>《义勇军进行曲》是由 a target="_blank" href="/item/田汉

王菲街拍神图 人穿衣服的典范,气质这种东西别人学不来

王菲街拍神图 人穿衣服的典范,气质这种东西别人学不来

范丞丞 范冰冰的弟弟, 曾经的他一直姐姐光环下, 黯淡无光, 最近

范丞丞 范冰冰的弟弟, 曾经的他一直姐姐光环下, 黯淡无光, 最近

荣耀归神,平安给人ppt

荣耀归神,平安给人ppt