首页 / 程序流图 / 图片详情

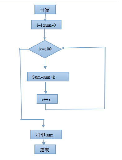
编程序,实现:1 2 3 …… 100,要求:画流程图,写完整程序._百度知道

图片尺寸 393x517
上传时间 2026-03-18 04:14:15
关键词 程序流图

图片链接

缩略图
原图
外链

相关图片

单片机流程图

单片机流程图

程序流程图怎么画

程序流程图怎么画

太阳能路灯智能控制系统设计,路灯常见问题

太阳能路灯智能控制系统设计,路灯常见问题

步进电机程序流程图_word文档在线阅读与下载_免费文档

步进电机程序流程图_word文档在线阅读与下载_免费文档

报警程序流程图_文档下载

报警程序流程图_文档下载

查询系统程序流程图.doc_三一文库31doc.com

查询系统程序流程图.doc_三一文库31doc.com

2011高考程序框图_文档下载

2011高考程序框图_文档下载

问:急急急 大神们帮小女子一个忙 完整程序流程图怎么画 c语言程序题

问:急急急 大神们帮小女子一个忙 完整程序流程图怎么画 c语言程序题

招标工作程序流程图3.doc

招标工作程序流程图3.doc

物业前期介入控制程序流程图

物业前期介入控制程序流程图

随机推荐

1129万元起一汽大众全新速腾全新宝来正式上市

1129万元起一汽大众全新速腾全新宝来正式上市

被封禁是真丑抖音善良的素颜小可爱真实样子照片网红嘟嘟姐回归抖音

被封禁是真丑抖音善良的素颜小可爱真实样子照片网红嘟嘟姐回归抖音

作者其他文章

作者其他文章

2022年喜庆新年虎年春节联欢晚会节目单

2022年喜庆新年虎年春节联欢晚会节目单

提起尚语贤,大家肯定都会想起在《唐人街探案2》中扮演的天才黑客kiko

提起尚语贤,大家肯定都会想起在《唐人街探案2》中扮演的天才黑客kiko

岩石图片_岩石图片大全_全景图片

岩石图片_岩石图片大全_全景图片

《高原情歌》歌谱 #经典歌曲   完整版 #@抖音小助手  - 抖音

《高原情歌》歌谱 #经典歌曲 完整版 #@抖音小助手 - 抖音

看这张照片就能发现,任嘉伦的妻子聂欢皮肤真的很好!

看这张照片就能发现,任嘉伦的妻子聂欢皮肤真的很好!

原创女铠甲#图文来了 - 抖音

原创女铠甲#图文来了 - 抖音

朱一龙有女朋友吗?朱一龙自曝喜欢的女生类型,竟然是这一款!

朱一龙有女朋友吗?朱一龙自曝喜欢的女生类型,竟然是这一款!