卡通可爱手绘皮卡丘宠物小精灵红色黄色美甲图片

图片尺寸 900x1200
上传时间 2026-03-18 15:34:52

图片链接

缩略图
原图
外链

相关图片

卡通手绘可爱明亮色美甲图片

卡通手绘可爱明亮色美甲图片

美甲手绘彩绘卡通作品海绵宝宝

美甲手绘彩绘卡通作品海绵宝宝

手绘可爱白色粉色黄色方圆形卡通动物表情款美甲图片

手绘可爱白色粉色黄色方圆形卡通动物表情款美甲图片

可爱卡通黄色元气动物美甲图片

可爱卡通黄色元气动物美甲图片

手绘卡通可爱樱桃笑脸美甲图片

手绘卡通可爱樱桃笑脸美甲图片

方圆形黄色黑色手绘条纹卡通小黄人可爱美甲图片

方圆形黄色黑色手绘条纹卡通小黄人可爱美甲图片

方圆形红色白色手绘圣诞格纹短指甲史努比卡通美甲图片

方圆形红色白色手绘圣诞格纹短指甲史努比卡通美甲图片

方圆形黄色手绘可爱卡通小黄人美甲图片

方圆形黄色手绘可爱卡通小黄人美甲图片

可爱卡通布丁狗黄色格纹手绘甲片韩系样板集美甲图片

可爱卡通布丁狗黄色格纹手绘甲片韩系样板集美甲图片

可爱卡通手绘学生美甲图片

可爱卡通手绘学生美甲图片

随机推荐

【图】李小璐一家三口写真曝光 幸福甜蜜秀一脸(3)_大陆星闻_明星

【图】李小璐一家三口写真曝光 幸福甜蜜秀一脸(3)_大陆星闻_明星

北方公司组织女职工开展我和党旗合个影主题活动

北方公司组织女职工开展我和党旗合个影主题活动

大山里的孩子 四川省凉山彝族悬崖村的艰苦生活状态,"[爱心 - 抖音

大山里的孩子 四川省凉山彝族悬崖村的艰苦生活状态,"[爱心 - 抖音

日本鬼面具纹身凶神恶煞的日本鬼面具纹身图案69

日本鬼面具纹身凶神恶煞的日本鬼面具纹身图案69

布头斤论斤网纱水溶棉布刺绣蕾丝布料碎布垃圾布面料

布头斤论斤网纱水溶棉布刺绣蕾丝布料碎布垃圾布面料

周杰伦专辑头像 唯美歌词

周杰伦专辑头像 唯美歌词

花怜大婚美翻了.#天官赐福 #花怜 #成婚#双男主 #天官赐 - 抖音

花怜大婚美翻了.#天官赐福 #花怜 #成婚#双男主 #天官赐 - 抖音

各种各样的树叶

各种各样的树叶

个性非主流黑色背景文字伤感心情语录2手机壁纸下载

个性非主流黑色背景文字伤感心情语录2手机壁纸下载

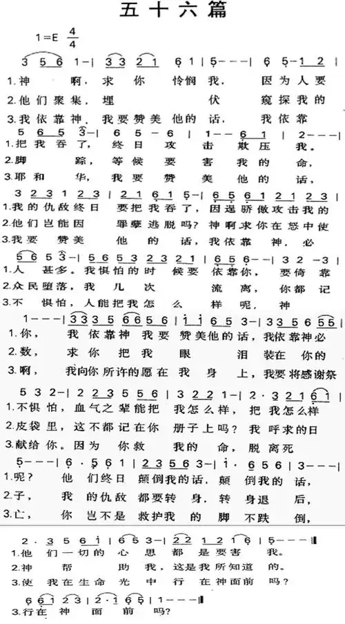
诗篇全集-诗篇全集-基督教歌谱网基督教简谱网歌谱网 诗歌下载五线谱

诗篇全集-诗篇全集-基督教歌谱网基督教简谱网歌谱网 诗歌下载五线谱